Compounding क्या होती है? भारत में लोग मेहनत करते हैं, Saving भी करते हैं… फिर भी अमीर क्यों नहीं बनते? वजह है Compounding को देर से समझना. जानिए SIP, Mutual Fund, PPF और FD में कंपाउंडिंग कैसे wealth को तेज़ी से बढ़ाती है.
Compounding क्या है?
Compounding का मतलब है Interest के ऊपर Interest मिलना. यानि:
- पहले साल Interest आपके Principal पर लगता है.
- अगले साल Interest = Principal + पहले साल का Interest.
इस process में पैसा धीरे-धीरे नहीं, बल्कि exponentially बढ़ता है। यही वजह है कि long term investment में return अचानक बहुत बड़ा दिखने लगता है।
आज का Return कल आपकी Capital/ Principal Amount बन जाता है. पहले साल Interest आपके Principal Amount पर लगता है और उसके बाद अगले साल Interest आपके Principal Amount और पिछले साल के Interest को मिलकर दोनों पर लगता है. इससे हर साल आपका Principal Amount बढ़ जाता है, यही कारण है कि पैसा धीरे नहीं, बल्कि Exponentially बढ़ता है.
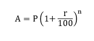
Compounding का Formula
कंपाउंडिंग का Formula निम्नवत है:

जहाँ,
P = Principal Amount या निवेश राशि
r = Annual Interest Rate
n = समय (वर्ष में)
A = Maturity Amount
उदहारण के तौर पर मान लीजिए कि आपने ₹1,00,000 का Principal Amount, 12% Annual Return (जो सामान्य तौर से Equity पर मिलता है) पर 10 साल के लिए Invest किया, तो आपको Compounding के निम्न फार्मूला से 10 साल में ही लगभग 210000 का Interest और Total Amount 310000 मिलेगा.

अर्थात आपको Principal Amount के Double का Interest ही मिल जायेगा और आपका पैसा तीन गुना हो जायेगा — यही कंपाउंडिंग की ताकत है.
Compounding में Time सबसे बड़ा Factor

“Compounding is Silent Wealth Builder”
कंपाउंडिंग में Time सबसे बड़ा Factor होता है. इसमें Same Interest Rate या Return पर आपका पैसा अलग – अलग Time में अलग- अलग Return देता है. जैसे – जैसे समय बढ़ता है आपका पैसा उसी अनुसार बढ़ता है. लम्बे समय में पैसा Exponentially Grow करता है.
| Time (in Yeras) | 10 Years | 20 Years | 25 Years | 30 Years |
| Final Amount of ₹1,00,000 @ 12% | ~₹310500 | ~₹965000 | ~₹1700000 | ~₹2996000 |
जहाँ पर 10 साल में आपका पैसा 3 गुना हो रहा है वहीँ पर 20 साल में लगभग 10 गुना हो रहा है.
यदि आप 25 से 30 साल में देखें तो आप पायेंगें कि मात्र 5 साल की अवधि में पैसा 13 गुना अधिक Grow कर रहा है, जबकि शुरुआत में यही पैसा 22 से 23 साल में 13 गुना हो रहा है.
Return वही है, लेकिन Time बढ़ते ही Growth Exponentially हो जाती है.
SIP में क्यों Powerful है Compounding?

जहाँ भी पैसे को Time मिलता है, वहां कंपाउंडिंग अपना चमत्कार दिखाती है. SIP में हर महीने नया पैसा Invest होता है, जिससे हर Investment अपने-अपने Time के अनुसार Compound होता है. यदि आपने ₹5,000 की SIP 20 साल के लिए की तो इसमें आखिरी SIP पर 1 महीने, दूसरी आखिरी SIP पर 2 महीने, तीसरी आखिरी SIP पर 3 महीने और इसी प्रकार पहली SIP पर 19 साल 11 महीने का कंपाउंडिंग का Return मिलेगा.
₹5,000 की SIP 20 साल के लिए 12% के Return पर लगभग ~₹50 लाख का पैसा देगी, जबकि आपने सिर्फ ₹12 लाख ही Invest किया है. कहने का मतलब यह है कि ₹38 लाख सिर्फ compounding से आपको मिलेंगें.
SIP में कंपाउंडिंग Frequency का Impact.
SIP में कंपाउंडिंग Frequency का अलग – अलग इम्पैक्ट पड़ता है. नीचे दी गयी तालिका में आप फ्रीक्वेंसी के आधार पर Return देख सकते हैं:
| Frequency | Annual | Half-Yearly | Quarterly | Monthly |
| Return | Normal | Better | More | Maximum |
Monthly Frequency में सबसे ज्यादा Return मिलता है. Monthly Frequency सबसे अच्छी मानी जाती है. नौकरीपेशा लोगों के लिए महीने में एक बार सैलरी मिलती है, जिससे SIP की Monthly Frequency सबसे पॉपुलर भी है.
FD, RD व MF आदि में कंपाउंडिंग का Tenure
FD और RD में Quarterly आधार पर कंपाउंडिंग होती है जबकि Mutual Funds (MF) में Daily NAV कंपाउंडिंग होती है.
Compounding कहाँ-कहाँ काम करता है?
दो प्रकार की कंपाउंडिंग को हम यहाँ पर आपके लिए विशेष रूप से दे रहे हैं. पहली है Positive Compounding और दूसरी है Negative Compounding.
Positive Compounding
Positive Compounding आपके पैसे को Grow करती है, जिससे कंपाउंडिंग को Wealth Creation भी कहते हैं. इसके अंतर्गत नीचे की तालिका में Product के अनुसार Compounding Effect दिया गया है.
| Product | Mutual Funds (Equity) | SIP | PPF | EPF | NPS | FD |
| Compounding Effect | High | Very High | Strong (Long term) | Stable | Long term | Low but safe |
तालिका के अवलोकन से स्पष्ट है कि SIP में कंपाउंडिंग सबसे ज्यादा काम करती है. यदि आपको Stable Return चाहिए तो आप EPF को चुनें और Safe के साथ Low Return चाहिए तो आप FD का चुनाव करें.
Negative Compounding (Debt Trap)
कंपाउंडिंग हमेशा फायदा ही नहीं करती है. यह नुकसान भी करती है. जब यह आपको नुकसान पहुंचती है तो यह Negative Compounding कहलाती है, जिसे Debt Trap भी कहा जाता है. इसमें लोन के Interest के ऊपर Interest लगता है, जो आपके Loan Amount को बढ़ा देता है और आप Debt Trap में फंस जाते हैं. Credit Card और Personal Loan Delay में Negative Compounding या Debt Trap बहुत ज्यादा होता है.
Compounding दोस्त भी बन सकती है, दुश्मन भी — जगह गलत हो तो।
Inflation vs Compounding
भारत में सामान्य रूप से FD पर 6% का Return मिलता है और Inflation की दर 6–7% से होती है, ऐसे में FD में किया गया Investment आपको 0 या Negative Return देगा. इसलिए इसमें आपको कंपाउंडिंग का लाभ नहीं मिलेगा. अगर आपका Return Inflation से ज्यादा नहीं है, तो पैसा बढ़ता दिखता है, पर value नहीं बढ़ती है. कंपाउंडिंग का लाभ लेने के लिए आपका Return Inflation से ज्यादा होना चाहिए.
Rule of 72
Rule of 72 वह फार्मूला है, जो यह बताता है कि पैसा कितने साल में Double होगा?

| Return | 6% | 8% | 12% | 15% |
| Double in Years | 12 | 9 | 6 | 4.8 |
Compounding को Maximize कैसे करें?

Investment जल्दी शुरू करें
25 vs 35 age का फर्क करोड़ों का हो सकता है
Long Term में Invest करें
10 से अधिक साल के Investment पर आपको Real कंपाउंडिंग दिखेगी.
बार – बार स्टॉक्स न बेचें
इससे Investment Break हो जाता है और कंपाउंडिंग का असर टूट जाता है.
Equity में भी Invest करें
India जैसे Growing Economy में Equity में इन्वेस्ट करना जरूरी है, क्योंकि Equity में अच्छे Return मिलते हैं जिस पर कंपाउंडिंग का लाभ अच्छा मिलता है.
Panic में Sell न करें
स्टॉक मार्केट में उतार – चढ़ाव एक सामान्य प्रक्रिया है. मार्केट में यह हमेशा लगा रहता है. जब मार्केट ऊपर जाती है तब हमें बहुत अच्छा लगता है और जब मार्केट गिरती है तब हम Panic होकर Sell करने लगते हैं जबकि गिरी हुयी मार्केट में इन्वेस्ट आगे एक अच्छा Return देती है.
बार-बार churn न करें
बार-बार churn करने से Tax और अन्य Expenditures तो लगते ही लगते हैं, परन्तु Loss of Time होता है जिससे कंपाउंडिंग Damage होती है.
निष्कर्ष
“Compounding is the 8th wonder of the world.” Albert Einstein
Compounding Slow दिखती है, लेकिन Long Term में सबसे Powerful Financial Power बन जाती है. “कंपाउंडिंग पैसे से नहीं, समय से अमीर बनाती है — और भारत जैसे Growing Economy में Equity इसका सबसे बड़ा Engine है.”
FAQs
प्रश्न : India में कंपाउंडिंग कहाँ सबसे अच्छा काम करता है?
उत्तर : India में Mutual Funds, SIP, PPF, EPF और NPS में कंपाउंडिंग सबसे अच्छा काम करती है.
प्रश्न : क्या Small Investments में भी कंपाउंडिंग काम करती है?
उत्तर : हाँ.
प्रश्न : कंपाउंडिंग शुरू करने का सही उम्र क्या है?
उत्तर : जितना जल्दी शुरू करेंगे, उतनी जल्दी Wealth बढ़ेगी.
इसे भी पढ़ें नौकरी या करियर की शुरुआत के साथ करें 5 जरूरी निवेश
Compounding के बारे में अधिक जानकारी के लिए क्लिक करें.
